ANWENDUNGSGEBIET
Statische Kalibrierung von Drehmomentschlüsseln als „Transfernormale“ zur Kalibrierung von Drehmomentschlüssel-Kalibriereinrichtungen
Kalibrierung von hochpräzisen Drehmomentschlüsseln
Das Verfahren zur Klassifizierung und Bestimmung der erweiterten Messunsicherheit wird beschrieben.
Insbesondere sind Transferschlüssel (oder Referenzschlüssel) so konstruiert, dass sie über einen Hebelarm ein Drehmoment aufbringen und unempfindlich gegen Querkräfte oder Biegemomente sind.
Die folgenden Nummern kennzeichnen die Absätze der Norm
3. Merkmale des Drehmomentschlüssels
• Alle Komponenten des Gerätes, einschließlich des Kabels, müssen angegeben werden (Herstellername, Typ, 4- oder 6-Leiter, Seriennummer usw.).
• Das Nenndrehmoment ist anzugeben
• Die Verbindung zwischen Schlüssel und Kalibriergerät darf keine Querkräfte oder Biegemomente erzeugen.
Es muss möglich sein, den Drehmomentaufbringungspunkt zu verändern:
• in Übergabeschlüsseln im Bereich der gängigen Drehmomentschlüssel (definiert in DKD-R 3-8, in Abhängigkeit vom Nenndrehmoment)
• in anderen Drehmomentschlüsseln, mit halber Grifflänge
4.1 Kalibrierung des Drehmomentschlüssels
• Kalibrierung = Anwenden bekannter Drehmomente auf den Aufnehmer und Aufzeichnen der von ihm gelieferten Daten
• Die Leseeinheit ist austauschbar, wenn die zusätzliche Unsicherheit durch den Austausch weniger als 1/3 der relativen Unsicherheit des Kalibrierergebnisses beträgt (SCS berücksichtigt dies in der Unsicherheitsbilanz).
• Bauteile und Adapter müssen dem 1,5-fachen des maximal übertragenen Drehmoments standhalten.
• Vor der Kalibrierung müssen der Drehmomentschlüssel und die Adapter mindestens 4 mal mit einer Überlast von 8 bis 12% des Nenndrehmoments geladen werden, für 1 bis 1,5 Minuten (zur Sicherheit und zur Vermeidung von Schäden während der Kalibrierung).
4.2 Auflösung des Anzeigegerätes
• Die Auflösung r ist das Inkrement der letzten aktiven Zahl, sofern die maximale Schwankung 1 Inkrement beträgt, wenn das Gerät entlastet wird.
• Ändert sich die Anzeige um mehr als 1 Inkrement, ist die Auflösung halb so groß wie die Schwankung + 1 Digit.
• Der Minimalwert des Messbereichs wird entsprechend der Klasse in der weiteren Tabelle definiert (Klassifizierungskriterien).
• Bei Anzeigegeräten mit aktiver Nullpunktunterdrückung ist die Nullpunktunterdrückung zur Ermittlung der Anzeige abzuschalten.
4.3 Vorbereitung der Kalibrierung
• Alle Anpassungen, falls vorhanden, müssen protokolliert werden.
• Die Messungen sind nach der Temperaturstabilisierung durchzuführen.
• Das Nullsignal muss vor und nach der Kalibrierung mit unbelastetem Drehmoment in vertikaler Position aufgezeichnet werden.
• Positive Anzeige für Rechtsdrehmoment
4.4 Kalibrierverfahren
• Kalibrierung im Uhrzeigersinn oder gegen den Uhrzeigersinn in den angegebenen Schritten (in der Regel 5 Schritte im Messbereich)
• Wir haben für jeden Schritt eine Wartezeit von 10 Sekunden definiert, die so konstant wie möglich ist.
• Die Vorspannung auf das Nenndrehmoment muss im ersten Zyklus der Kalibrierrichtung und einmalig nach jedem Wechsel der Einbaulage erfolgen.
• Nach jeder Vorspannung (kurze Zeit) auf Null-Stabilisierung warten (max. 3 Minuten) und den Wert aufzeichnen.
• Nach der letzten Vorspannung in der ersten Einbaulage das Kriechen nach 3 Minuten aufzeichnen.
• Die Kalibrierung sollte vorzugsweise in 3 Positionen bei 120° erfolgen.
• Für die Klassen 1, 2 und 5 ist nur eine Umdrehung bei 90° oder 120° möglich.
• Die Anzahl der Messungen hängt von der Klasse des Drehmomentaufnehmers ab, wie in der folgenden Tabelle dargestellt.
Anzahl der benötigten Messreihen

Die Mindestanzahl der Drehmomentstufen (zusätzlich zur Nullstufe) muss wie folgt sein:
• Klassen 0,05 bis 0,2 = 8 (entsprechend über den Messbereich verteilt)
Anmerkung: z.B. in Schritten von 10, 20, 30, 40, 50, 60, 80 e 100 % ME
oder 2, 5, 10, 20, 40, 60, 80 e 100 % ME
• Klasse 0,5 = 5 (20, 40, 60, 80 e 100 % ME)
• Klassen 1 bis 5 = 3 (20, 60 e 100 % di ME) (SCS-Verfahren für Klasse 1: 5 Schritte)
Der Mindestwert des Messbereichs muss einer der Kalibrierwerte sein.
Ablauf der Kalibrierung für Klasse 1

• Die Umgebungstemperatur muss zwischen 18 und 28°C (vorzugsweise 22°C) liegen und innerhalb von ±1 K stabil sein.
• Der Abstand zwischen zwei Belastungsstufen muss gleich sein, insbesondere bei Kriechen.
• Die Anzeige vor der Messung kann auf Null gesetzt oder bei der Berechnung berücksichtigt werden.
• Bei Geräten mit definierter Skala (N∙m) muss die Anzeige zu Beginn jeder Messreihe auf Null gestellt werden.
Änderung der Hebelarmlänge
(nur bei Transferschlüsseln)
• Zur Beurteilung des Einflusses des Kraftangriffspunktes auf den Hebelarm sind eine Reihe von Hebelarmlängen, mittlere und kurze Hebel in Abhängigkeit vom Nenndrehmoment (nur Übergabeschlüssel) wie in der Tabelle angegeben.
• Bei Standardschlüsseln ist eine halbe Längenabweichung von der Mitte des Griffes vorgesehen.

• Für Drehmomente über 2000 N∙m werden entsprechende Hebelarmlängen gewählt.
4.4.7 Bewertung des Drehmomentschlüssels
Reproduzierbarkeit b, Wiederholbarkeit b‘ und bl
• Die Reproduzierbarkeit b wird für jeden Kalibrierpunkt berechnet, da die Differenz zwischen der zunehmenden Serie bei verschiedenen Einbaulagen die mittlere Länge des Hebelarms ist.
• Die Wiederholgenauigkeit b‘ errechnet sich für jeden Kalibrierpunkt aus der Differenz zwischen der zunehmenden Serie bei gleicher Einbaulage und der mittleren Hebelarmlänge.
• Die Wiederholgenauigkeit bl wird für jeden Kalibrierpunkt als Differenz zwischen den Werten der zweiten ansteigenden Reihe von mittleren Hebelarmlängenwerten und der Reihe von Werten mit minimalem Hebelarm berechnet.
Interpolationsfehler fa
• Der Interpolationsfehler fa wird mit Hilfe einer Glättungsfunktion ermittelt, die über den Ursprungspunkt und in Abhängigkeit von den verwendeten Kalibrierpunkten mittels einer Gleichung 1. oder 3.
• Der Interpolationsfehler wird für jeden Kalibrierschritt als Differenz zwischen dem Kalibrierergebnis und dem zugehörigen Wert der Glättungsfunktion berechnet.
• Bei Drehmomentschlüsseln mit definierter Skala (z.B. SCS-Schlüssel) wird die Anzeigeabweichung fq ermittelt.
Relativer Fehler des Nullsignals f0
• Der Nullwert ist vor jeder ansteigenden und nach jeder abfallenden Reihe aufzuzeichnen.
• Der Nullwert ist ca. 30 s nach vollständiger Entladung abzulesen.
• Der Nullpunktfehler f0 wird als maximaler Absolutwert der Differenz zwischen den beiden Messwerten an allen Einbaulagen berechnet.
Umkehrbarkeit (Histerese) h
• Die Umkehrspanne h(MK) wird für jedes Kalibrierdrehmoment als Maximalwert der Absolutwerte der Differenzen zwischen den Anzeigen der ansteigenden und abfallenden Reihe für jede Drehmomentstufe ermittelt.
Kalibrierergebnis X
• Der Schätzwert für jeden Drehmomentwert stellt den Mittelwert der Ergebnisse der zunehmenden Drehmomentmessreihe mit mittlerer Hebelarmlänge dar.
Anzeigefehler fq
• Die Anzeigeabweichung fq wird nur bei Drehmomentmessgeräten ermittelt, die das Ergebnis direkt in der Drehmomenteinheit anzeigen und bei denen eine elektronische Anpassung der Anzeige an die Interpolationsfunktion des Kalibrierergebnisses nicht möglich ist.
• Stellt die Differenz zwischen dem Mittelwert der steigenden Drehmomente in den verschiedenen Einbaulagen und dem angewandten Bezugsmoment dar.
Prinzip der Klassifizierung
• Der Messbereich, für den dem Drehmomentschlüssel eine bestimmte Klasse zugeordnet ist, umfasst alle Kalibrierdrehmomente, für die die entsprechenden Klassifizierungskriterien erfüllt sind – von der Messbereichsobergrenze bis zum kleinsten Kalibrierdrehmoment.
Für die Klassifizierung muss der Mindestwert des Messbereichs betragen:
• ≤ 20% von ME für die Klassen 0.2 bis 5.2 to 5
Klassifzierungskriterien
Für die Klassifizierung werden die absoluten Mengen gemäß der nächsten Tabelle in relative Mengen umgerechnet. Folgende Kriterien müssen dabei berücksichtigt werden:
– Reichweite bei gleicher Einbaulage,
– Baureihe mit unterschiedlichen Einbaulagen,
– mit verschiedenen Hebelarmlängen,
– Interpolationsabweichung oder Anzeigeabweichung,
– Nullpunktabweichung und
– Umkehrbarkeitsbereich.
Klassifizierungskriterien für Drehmomentschlüssel

Unsere Tabellenkalkulation prüft automatisch alle Werte, um die Klasse des Drehmomentschlüssels zu bestimmen.
Kalibrierzertifikat
• Wir werden später das Kalibrierzertifikat detailliert analysieren, das mindestens folgende Angaben enthalten muss
• Bewerber,
• Identität aller Elemente des Drehmomentschlüssels und der Drehmomenteinleitungsteile sowie Bezeichnung der Kalibriereinrichtung,
• Angaben zum linken und rechten Drehmoment sowie zu den Hebelarmlängen,
• Klassifikationsergebnis mit Auflistung des zugehörigen Messbereichs und der Messunsicherheit gemäß Anhang B,
• Schätzung (Mittelwerte aus den Messwerten der Aufwärtsreihe) und der Auswuchtfunktion,
• Umgebungstemperatur, bei der die Kalibrierung durchgeführt wurde,
• Datum der Kalibrierung,
• Informationen zur Identifizierung des Kalibrierlabors,
• Verweis auf diese Richtlinie.
• Das Kalibrierzertifikat sollte zusätzlich enthalten:
• Tabelle der Messwerte und der berechneten Kenngrößen nach Punkt 4.4.7 und
• eine grafische Darstellung der Kurve.
Bei Drehmomentschlüsseln mit definierter Skala (z.B. SCS) ist es möglich, die Einhaltung der von einer Klasse geforderten Parameter zu erklären; bei anderen Drehmomentschlüsseln kann nur die Interpolationskurvengleichung zusätzlich angegeben werden.
Gültigkeitsdauer
– Die maximale Gültigkeitsdauer des Zertifikats darf 26 Monate nicht überschreiten, es wird jedoch generell eine jährliche Häufigkeit empfohlen, insbesondere wenn besondere Anforderungen an die Rückverfolgbarkeit bestehen oder durch Qualitätssicherungsvorschriften vorgeschrieben sind.
– Der Drehmomentschlüssel ist neu zu kalibrieren:
– wenn sie eine höhere Überlast als die angewandte Belastung erfahren hat während des Überlasttests
– nach erfolgter Instandsetzung oder
– nach einer unsachgemäßen Bedienung, die einen Einfluss auf den messtechnische Eigenschaften oder die Messunsicherheit.
Messunsicherheitsbudget (nach DKD-R 3-7)
The relative standard measurement uncertainty w correlated to the torque M is given by:
wobei:
![]()
wKE is the uncertainty of the calibration system and also the various influences ∂M participate:
• δM1 Influence of the resolution r of the display unit on the calibration object
• δM2 Influence of the repeatability b‘
• δM3 Influence of the reproducibility b
• δM4 Influence of the reversibility range h
• δM5 Influence of the return to zero f0
• δM6 Influence of the force introduction conditions bl
• δM7 Influence of the indication or interpolation deviation fq or fa respectively.
• δM8 Influence of the measurement uncertainty UKE of the torque calibration device, including a portion for long-time stability of the torque calibration device.
For undefined scale and use of linear equation or for defined scale the expanded uncertainty range W‘ takes into account the deviations of interpolation fa or display fq as follows
for undefined scale and use of linear equation
for defined scale
The calculations are automatically performed on the spreadsheet and the results are given on page 4 of the calibration certificate (Table 8.1)
Verteilungsfunktionen
DKD-R 3-7 enthält eine Tabelle zur Berechnung der relativen Standardabweichungen der verschiedenen Einflüsse, die zur berechneten Unsicherheit beitragen:

Auf unserer Kalkulationstabelle werden die Berechnungen wie in der Norm angegeben entwickelt.
Referenzunsicherheit
Diese einzelne Berechnungsformel wird bei den in der Tabelle aufgeführten Beiträgen berücksichtigt:


Diese Berechnungen werden in der Tabelle verarbeitet und das Ergebnis bei der Berechnung der Kalibrierunsicherheit eines Drehmomentaufnehmers berücksichtigt.
KALIBRIERZERTIFIKAT
Seite 1: Deckblatt
Die erste Seite entspricht dem ACCREDIA-Modell: Neben dem Accredia-Logo erscheint auch das SCS-Logo. Diese Logos werden auf jeder Seite des Kalibrierzertifikats angezeigt. Die Seite enthält Informationen über den Kunden und die Bestellung, Informationen über das zu kalibrierende Gerät (Typ, Modell und Seriennummer), Datum des Eingangs des Gerätes und Datum der Kalibrierung, logistische Informationen über das Labor und die autorisierte Unterschrift (Laborleiter oder Stellvertreter).
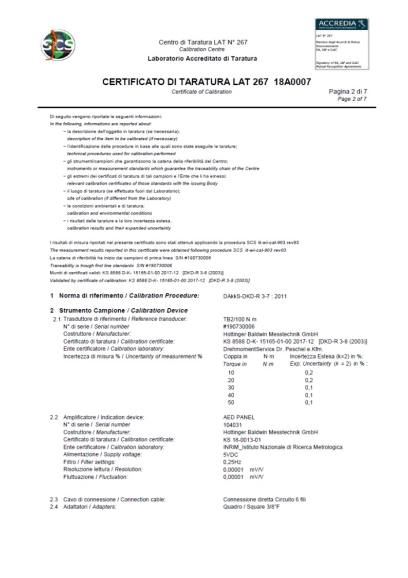
Seite 2: Informationen
Auf der zweiten Seite werden gemäß dem Accredia-Modell weitere Informationen zur Verfügung gestellt:
• der Referenzstandard
• die Identifikationsangaben der Laborreferenz und deren Rückführbarkeit (Kalibrierzertifikat und Unsicherheiten)
• Identifikation und Eigenschaften des an das Referenzkabel und die Eigenschaften des Adapters angeschlossenen Verstärkers.
Seite 3: Informationen
Die folgenden Informationen sind detailliert anzugeben: Eigenschaften des zu kalibrierenden Gerätes, dessen Verstärker, Kabel, Adapter, Empfindlichkeit, Kalibrieranlage, Umgebungsbedingungen, Kalibrierort (bei externer Kalibrierung) und Nullsignalwert, vor und nach der Kalibrierung, sowie alle anderen Informationen, die sich auf die Kalibrierung beziehen.
Seite 4: Kalibrierung und Klassifikatin der Ergebnisse
Auf dieser Seite werden die Unsicherheitswerte in Bezug auf die linearen Interpolationskurven (im Uhrzeigersinn und/oder gegen den Uhrzeigersinn) und, wie in diesem Fall, die Unsicherheit für Instrumente auf einer definierten Skala angezeigt.
Seite 5: Interpolationsgleichungen und Klassifizierungskriterien
In dieser Seite sind angegeben:
9. Interpolationsgleichungen, die zur Klassifizierung des Drehmomentaufnehmers und zur Ermittlung der Werte der folgenden Registerkarte verwendet werden. 13 auf Seite 7 (kubische Interpolation)
10. Werte für die Klassifizierungskriterien des Drehmomentaufnehmers Die Klasse wird automatisch ermittelt und überprüft, ob alle Parameter den Anforderungen der Norm entsprechen.
Seite 6: Messdaten
Auf dieser Seite finden Sie eine Tabelle, in der die Messwerte in Abhängigkeit vom aufgebrachten Drehmoment entsprechend den definierten Messzyklen angezeigt werden.
In dieser Tabelle sind die Werte in N∙m angegeben, können aber auch in mV/V ausgedrückt werden.
Seite 7: Ergebnisse in Diagramm und kubischer Interpolation
Das erste Diagramm zeigt den relativen Fehler in den einzelnen Kalibrierschritten.
Das zweite Diagramm zeigt den Verlauf des Interpolationsfehlers.
Die kubische Interpolationstabelle zeigt die nach den Formeln in Abschnitt 9.1 auf Seite 5 berechneten Werte für die Zwischenwerte der verschiedenen Messschritte.


