FIELD OF APPLICATION EINSATZGEBIET
Statische Kalibrierung von Drehmomentaufnehmern, die zur Kalibrierung von Drehmomentschlüsseln und Schraubern verwendet werden.
Transfermomentschlüssel sind Geräte, die das Drehmoment über einen Hebelarm aufbringen.
Daher berücksichtigt diese Richtlinie das Verhältnis von abweichenden Kräften auf den Aufnehmer bei der Kalibrierung, die in der DIN 51309 nicht berücksichtigt werden.
Das Verfahren zur Klassifizierung von Drehmomentaufnehmern wird beschrieben.
Die folgenden Nummern kennzeichnen die Absätze der Norm
3. Characteristics Eigenschaften
• Alle Komponenten des Gerätes, einschließlich des Kabels, müssen genannt werden (Herstellername, Typ, 4- oder 6-Leiter, Seriennummer usw.).
• Das Nenndrehmoment ist anzugeben
• Die Verbindung zwischen Schlüssel und Kalibriergerät darf keine Querkräfte oder Biegemomente erzeugen.
• Es muss möglich sein, den Drehmomentaufbringungspunkt im Bereich der üblichen Drehmomentschlüssel zu ändern.
4.1 Kalibrierung von Drehmomentaufnehmern
• Die Kalibrierung besteht darin, auf das zu kalibrierende Gerät entsprechend der praktischen Anwendung mit Drehmoment aufzubringen und Messungen aufzuzeichnen.
• Due Leseeinheit ist austauschbar, wenn die zusätzliche Unsicherheit durch den Austausch weniger als 1/3 der relativen Unsicherheit des Kalibrierergebnisses beträgt (SCS berücksichtigt dies in der Unsicherheitsbilanz).
• Bauteile und Adapter müssen dem 1,5-fachen des maximal übertragenen Drehmoments standhalten.
• Bei maximalem Drehmoment muss die Längenänderung des Messgerätes und der Adapter kleiner als 1 mm sein.
• Vor der Kalibrierung müssen Aufnehmer und Adapter mindestens 4 mal mit einer Überlast von 8 bis 12% des Nenndrehmoments für 1 bis 1,5 Minuten aufgebracht werden (aus Sicherheitsgründen und zur Vermeidung von Schäden währenddessen)
4.2 Auflösung des anzeigenden Gerätes
• Die Auflösung r ist das Inkrement der letzten aktiven Zahl, sofern die maximale Schwankung 1 Inkrement beträgt, wenn das Gerät entlastet wird.
• Ändert sich die Anzeige um mehr als 1 Inkrement, ist die Auflösung halb so groß wie die Schwankung + 1 Digit.
• Der Minimalwert des Messbereichs wird entsprechend der Klasse in der weiteren Tabelle definiert (Klassifizierungskriterien).
4.3 Vorbereitung der Kalibrierung
• Alle Anpassungen, falls vorhanden, müssen protokolliert werden.
• Die Messungen sind nach der Temperaturstabilisierung durchzuführen.
• Das Nullsignal muss vor und nach der Kalibrierung mit unbelastetem Drehmoment in vertikaler Position aufgezeichnet werden.
• Positive Anzeige für Rechtsdrehmoment
4.4 Kalibrierprozedere
• Kalibrierung im oder gegen den Uhrzeigersinn in den angegebenen Schritten (in der Regel 5 Schritte im Messbereich)
• Wir haben für jeden Schritt eine Wartezeit von 10 Sekunden definiert, so konstant wie möglich.
• Die Vorspannung auf das Nenndrehmoment muss im ersten Zyklus der Kalibrierrichtung und einmalig nach jedem Wechsel der Einbaulage erfolgen.
• Nach jeder Vorspannung (kurze Zeit) auf Null-Stabilisierung warten (max. 3 Minuten) und den Wert aufzeichnen.
• Die Umgebungstemperatur muss zwischen 18 und 28°C (vorzugsweise 22°C) liegen und innerhalb von ±1°C stabil sein.
• Der Abstand zwischen zwei Belastungsstufen muss gleich sein, insbesondere bei Kriechen.
• Die Anzeige vor der Messung kann auf Null gesetzt oder bei der Berechnung berücksichtigt werden.
• Die Anzeige muss zu Beginn jeder Messreihe auf Null zurückgesetzt werden.
Anzahl benötigter Messreihen

• Die Mindestanzahl der Drehmomentstufen (zusätzlich zur Nullstufe) muss wie folgt sein:
• Klasse = 8 (entsprechend über den Messbereich verteilt)
Anmerkung: z.B. in Schritten von 10, 20, 30, 40, 50, 60, 80 e 100 % ME oder 2, 5, 10, 20, 40, 60, 80 e 100 % ME
• Klasse 0,5 = 5 (20, 40, 60, 80 e 100 % ME)
• Klassen 1 bis 5 = 3 (20, 60 e 100 % di ME) (SCS-Verfahren für Klasse 1: 5 Schritte)
• Der Minimalwert des Messbereichs MA muss einer der Kalibrierwerte sein.
• Die Mindestanzahl der Drehmomentstufen ist abhängig von der Klasse des Drehmomentaufnehmers, wie in der Tabelle dargestellt.
• Die ersten beiden aufsteigenden Serien bestimmen die Wiederholbarkeit bei gleicher Einbaulage.
• Eine weitere aufsteigende Reihe bestimmt den Einfluss des Kraftangriffspunktes auf den Hebelarm und auf das Kalibrierergebnis.
• Ein Drehmomentaufnehmer kann für verschiedene Messaufgaben kalibriert werden.
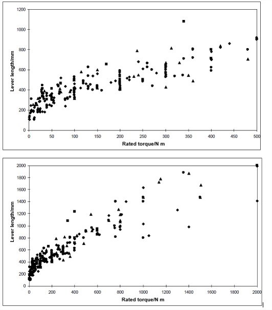
Abhängigkeit der Hebelarmlängen von Drehmomentschlüsseln vom Nenndrehmoment
Änderungen der Hebelarmlänge
• Zur Beurteilung des Einflusses des Kraftangriffspunktes auf den Hebelarm sind eine Reihe von Hebelarmlängen, mittlere und kurze Hebel in Abhängigkeit vom Nenndrehmoment (nur Übergabeschlüssel) wie in der Tabelle angegeben.

• Für Drehmomente über 2000 N·m werden entsprechende Hebelarmlängen gewählt.
Ablauf der Kalibrierung für Klasse 1

4.4.7 Auswertung des Drehmomentaufnehmers
Reproduzierbarkeit b, Wiederholbarkeit b‘ und bl
• Die Reproduzierbarkeit b wird für jeden Kalibrierpunkt berechnet, da die Differenz zwischen der zunehmenden Serie bei verschiedenen Einbaulagen die mittlere Länge des Hebelarms ist.
• Die Wiederholgenauigkeit b‘ errechnet sich für jeden Kalibrierpunkt aus der Differenz zwischen der zunehmenden Serie bei gleicher Einbaulage und der mittleren Hebelarmlänge.
• Die Wiederholgenauigkeit bl wird für jeden Kalibrierpunkt als Differenz zwischen den Werten der zweiten ansteigenden Reihe von mittleren Hebelarmlängenwerten und der Reihe von Werten mit minimalem Hebelarm berechnet.
Relativer Fehler des Nullsignals f0
• Der Nullwert ist vor jeder ansteigenden und nach jeder abfallenden Reihe aufzuzeichnen.
• Der Nullwert ist ca. 30 s nach vollständiger Entladung abzulesen.
• Der Nullpunktfehler f0 wird als maximaler Absolutwert der Differenz zwischen den beiden Messwerten an allen Einbaulagen berechnet.
Umkehrbarkeit (Histerese) h
• Die Umkehrspanne h(MK) wird für jedes Kalibrierdrehmoment als Maximalwert der Absolutwerte der Differenzen zwischen den Anzeigen der ansteigenden und abfallenden Reihe für jede Drehmomentstufe ermittelt.
• Die Umkehrspanne h(MK) wird für jedes Kalibrierdrehmoment als Maximalwert der Absolutwerte der Differenzen zwischen den Anzeigen der ansteigenden und abfallenden Reihe für jede Drehmomentstufe ermittelt.
Interpolationsfehler fa
• Der Interpolationsfehler fa wird mit Hilfe einer Glättungsfunktion über den Ursprungspunkt und in Abhängigkeit von den verwendeten Kalibrierpunkten mittels einer Gleichung 1. oder 3. Grades ermittelt
• Der Interpolationsfehler wird für jeden Kalibrierschritt als Differenz zwischen dem Kalibrierergebnis und dem zugehörigen Wert der Glättungsfunktion berechnet.
• Für Drehmomentaufnehmer mit definierter Skalenanzeige (z.B. Drehmomentaufnehmer von SCS-Kalibrierbänken) wird die Anzeigeabweichung fq ermittelt.
Anzeigefehler fq
• Die Anzeigeabweichung fq wird nur bei Drehmomentaufnehmern ermittelt, die das Ergebnis direkt in der Drehmomenteinheit anzeigen und bei denen eine elektronische Anpassung der Anzeige an die Interpolationsfunktion des Kalibrierergebnisses nicht möglich ist.
• Stellt die Differenz zwischen dem Mittelwert der steigenden Drehmomente in den verschiedenen Einbaulagen und dem angewandten Bezugsmoment dar.
Kalibrierergebnis X
• Der Schätzwert für jeden Drehmomentwert stellt den Mittelwert der Ergebnisse der zunehmenden Drehmomentmessreihe mit mittlerer Hebelarmlänge dar.
Prinzip der Klassifizierung
Der Messbereich, für den dem Drehmomentaufnehmer eine bestimmte Klasse zugeordnet ist, umfasst alle Kalibrierdrehmomente, für die die entsprechenden Klassifizierungskriterien erfüllt sind – von der Messbereichsobergrenze bis zum kleinsten Kalibrierdrehmoment.
Für die Klassifizierung muss der Mindestwert des Messbereichs betragen:
• ≤ 20% von ME für alle Klassen
Klassifizierungskriterien
Für die Klassifizierung werden die absoluten Mengen gemäß der nächsten Tabelle in relative Mengen umgerechnet. Folgende Kriterien müssen dabei berücksichtigt werden:
Reichweite bei gleicher Einbaulage,
• Baureihe mit unterschiedlichen Einbaulagen,
• Bereich mit verschiedenen Hebelarmlängen,
• Interpolationsabweichung oder Anzeigeabweichung,
• Nullpunktabweichung und
• Umkehrbarkeitsbereich.
Klassifizierungskriterien für Drehmomentaufnehmer
Our spreadsheet automatically checks all values to determine the class of the torque wrench
Unsere Tabelle prüft automatisch alle Werte, um die Klasse des Drehmomentschlüssels zu bestimmen.
Kalibrierzertifikat
Wir werden später das Kalibrierzertifikat detailliert analysieren, das mindestens folgende Angaben enthalten muss
• Bewerber,
• Identität aller Elemente der Drehmomentschlüssel-Kalibriereinrichtung und der Drehmomenteinleitungsteile sowie Bezeichnung des Drehmomentübertragungsnormals,
• Angaben zum linken und rechten Drehmoment sowie zu den Hebelarmlängen,
• Klassifikationsergebnis mit Auflistung des zugehörigen Messbereichs und der relativen Messunsicherheit gemäß Anhang B,
• Schätzung (Mittelwerte aus den Messwerten der Aufwärtsreihe) und der Auswuchtfunktion,
• Umgebungstemperatur, bei der die Kalibrierung durchgeführt wurde,
• Datum der Kalibrierung,
• Informationen zur Identifizierung des Kalibrierlabors,
• Verweis auf diese Richtlinie und
• Ausrichtung der Messachse während der Kalibrierung (horizontal und/oder vertikal).
Bei Drehmomentmessgeräten mit definierter Skala (N·m) ist eine Konformitätserklärung mit den von einer Klasse geforderten Parametern möglich, bei anderen Geräten nur durch zusätzliche Angabe der Gleichung der Interpolationskurve.
Gültigkeitsdauer
– Die maximale Gültigkeitsdauer des Zertifikats darf 26 Monate nicht überschreiten, es wird jedoch generell eine jährliche Frequenz empfohlen, vor allem, wenn besondere Anforderungen an die Rückverfolgbarkeit bestehen oder durch Qualitätssicherungsvorschriften vorgeschrieben sind.
– Der Drehmomentaufnehmer ist neu zu kalibrieren:
– wenn auf ihn eine höhere Überlast als die angewandte Belastung angewandt wurde
– während des Überlasttests
– nach erfolgter Instandsetzung oder
– nach einer unsachgemäßen Bedienung, die einen Einfluss auf die messtechnischen Eigenschaften oder die Messunsicherheit nicht ausschließen lässt
Messunsicherheitsbudget (nach DKD-R 3-8)
Die relative Standardmessunsicherheit w bezogen auf das Drehmoment M ist gegeben durch:
wobei:
![]()
• wKE ist die Unsicherheit des Kalibriersystems mit Beteiligung verschiedener Einflüsse ∂M:
• δM Einfluss der Auflösung r der Anzeigeeinheit auf das Kalibrierobjekt
• δM Einfluss der Wiederholbarkeit b‘
• δM Einfluss der Reproduzierbarkeit b
• δM Einfluss des Umkehrbereiches h
• δM Einfluss der Rückkehr auf Null f0
• δM Einfluss der Krafteinleitungsbedingungen bl
• δM Einfluss der Anzeige- bzw. Interpolationsabweichung fq bzw. fa.
• δM Einfluss der Messunsicherheit UKE der Drehmoment-Kalibriereinrichtung, einschließlich eines Teils für
Langzeitstabilität der Drehmoment-Kalibriereinrichtung.
Bei undefinierter Skalierung und Verwendung der linearen Gleichung oder bei definierter Skalierung berücksichtigt der erweiterte Unsicherheitsbereich W‘ die Abweichungen der Interpolation fa oder der Anzeige fq wie folgt
für undefinierten Maßstab und Verwendung von Geradengleichung
für definierten Maßstab
Die Berechnungen werden automatisch auf der Kalkulationstabelle durchgeführt und die Ergebnisse sind auf Seite 4 des Kalibrierzertifikats angegeben (Tabelle 8.1).
Referenzunsicherheit
Diese einzelne Berechnungsformel wird bei den in der Tabelle aufgeführten Beiträgen berücksichtigt:


Diese Berechnungen werden in der Tabelle verarbeitet und das Ergebnis bei der Berechnung der Kalibrierunsicherheit eines Drehmomentaufnehmers berücksichtigt.
KALIBRIERZERTIFIKAT
Seite 1: Deckblatt
Die erste Seite entspricht dem ACCREDIA-Modell: Neben dem Accredia-Logo erscheint auch das SCS-Logo. Diese Logos werden auf jeder Seite des Kalibrierzertifikats angezeigt. Die Seite enthält Informationen über den Kunden und die Bestellung, Informationen über das zu kalibrierende Gerät (Typ, Modell und Seriennummer), Datum des Eingangs des Gerätes und Datum der Kalibrierung, logistische Informationen über das Labor und die autorisierte Unterschrift (Laborleiter oder Stellvertreter).
Seite 2: Informationen
Auf der zweiten Seite werden gemäß dem Accredia-Modell weitere Informationen zur Verfügung gestellt:
– der Referenzstandard
– die Identifikationsangaben der Laborreferenz und deren Rückführbarkeit (Kalibrierzertifikat und Unsicherheiten)
– Identifikation und Eigenschaften des an das Referenzkabel und die Eigenschaften des Adapters angeschlossenen Verstärkers.
Seite 3: Informationen
Die folgenden Informationen sind detailliert anzugeben: Eigenschaften des zu kalibrierenden Gerätes, dessen Verstärker, Kabel, Adapter, Empfindlichkeit, Kalibrieranlage, Umgebungsbedingungen, Kalibrierort (bei externer Kalibrierung) und Nullsignalwert, vor und nach der Kalibrierung, sowie alle anderen Informationen, die sich auf die Kalibrierung beziehen.
Seite 4: Kalibrierung und Klassifikatin der Ergebnisse
Auf dieser Seite werden die Unsicherheitswerte in Bezug auf die linearen Interpolationskurven (im Uhrzeigersinn und/oder gegen den Uhrzeigersinn) und, wie in diesem Fall, die Unsicherheit für Instrumente auf einer definierten Skala angezeigt.
Seite 5: Lineare Gleichung, Klassifizierungskriterien und Messwerte
Auf dieser Seite sind gezeigt:
• Die lineare Gleichung für die getrennten Werte im Uhrzeigersinn und gegen den Uhrzeigersinn und die lineare Gleichung für die gemeinsamen Werte.
• Tabelle 10 zeigt die berechneten Werte für die verschiedenen Klassifikationsparameter.
• Tabelle 11 zeigt die gemessenen Drehmomentwerte
Seite 6: Ergebnisse im Diagramm
• Das erste Diagramm zeigt den relativen Fehler in den einzelnen Kalibrierschritten.
• Das zweite Diagramm zeigt den Verlauf des Interpolationsfehlers.



