Reference to the current standard, which will be updated by version 2017-Part 1
EINSATZGEBIE
Statische Kalibrierung von manuellen Drehmomentschlüssel für kontrolliertes Anziehen.
Die Norm gilt für die nachfolgend aufgeführten Drehmomentschlüssel, insbesondere für anzeigende Drehmoment- und Knickschlüssel.
Klassifikation
Prerequisites
• Die Messunsicherheit der Kalibriereinrichtung muss kleiner als ±1% des Messwertes sein.
• Drehmomentschlüssel Typ I sind mit zunehmender Kraft auf die Kalibriereinrichtung zu laden, bis der Schlüssel seinen Drehmomentwert anzeigt.
• Einstelldrehmomentwerkzeuge Typ II sind mit zunehmender Kraft bis zu ca. 80 % ihres angegebenen Drehmomentwertes auf die Kalibriereinrichtung zu laden. Vom 80%-Wert bis zum eingestellten Zieldrehmoment muss die Last langsam und gleichmäßig über einen Zeitraum von 0,5 s bis 4 s aufgebracht werden.
Ausrichtung der Kalibriereinrichtung
• Informationen zur Orientierung in Abhängigkeit von der Kalibrierachse

Vor der Kalibrierung muss sichergestellt warden:
• Bei anzeigenden Schlüsseln Typ I: vor der Prüfung wurde eine Vorspannung bis zum Maximalwert in der zu prüfenden Wirkrichtung durchgeführt und nach dem Loslassen der Last die Anzeige oder elektronische Anzeige auf „0“ gesetzt. Bei Prüfungen in jeder anderen Wirkrichtung ist dieser Vorgang zu wiederholen.
• Für die Einstellung von Drehmomentschlüsseln, Typ II: fünf Belastungen wurden ohne Messung mit dem Maximalwert (Nennkapazität des Werkzeugs) in der zu prüfenden Arbeitsrichtung vor den Prüfungen durchgeführt und freigegeben. Bei Prüfungen in jeder anderen Wirkrichtung ist dieser Vorgang zu wiederholen.
• Die Belastungskraft wird entweder auf die Mitte des Handgriffs oder auf die Linie aufgebracht, die den Belastungspunkt angibt
• Bei Drehmomentschraubern oder Drehmomentschlüsseln mit T-Griff wird die Kraft innerhalb der in der folgenden Abbildung angegebenen Grenzen aufgebracht:

Kalibrierprozedur

Alle Messwerte müssen innerhalb der in den folgenden Tabellen angegebenen maximalen Toleranzen liegen und sind aufzuzeichnen.
Zulässige Abweichungen
• Type I:

• Type II, classes A, B, D, E, G

• Type II, classes C and F
Bewertung von Abweichungen
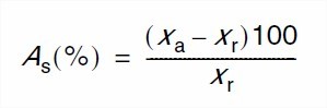
• Die Bewertung der Abweichungen erfolgt nach folgender Formel:
wo:
• As(%) ist die berechnete Abweichung des Drehmomentwerkzeugs;
• xa ist der angezeigte Wert des Drehmomentwerkzeugs;
• xr ist der Referenzwert (ermittelt durch die Kalibriereinrichtung)
Markierung
Gültigkeitsdauer
• Wenn der Anwender kein Kontrollverfahren benutzt, kann ein Zeitraum von 12 Monaten oder ca. 5 000 Zyklen als Sollwert für das Nachkalibrierintervall verwendet werden.
• Bei der ersten Nachkalibrierung beginnt die Gültigkeitsdauer mit der ersten Verwendung des Drehmomentschlüssels durch den Anwender.
• Der Drehmomentschlüssel ist neu zu kalibrieren:
– wenn sie eine höhere Überlast als die angewandte Belastung erfahren hat
während des Überlasttests
– nach erfolgter Instandsetzung oder
– nach einer unsachgemäßen Bedienung, die einen Einfluss auf die
messtechnische Eigenschaften oder die Messunsicherheit hat
• Die neue ISO 6789:2017, welche die Vorgängerversion 2013 ersetzt, ist in zwei Teile gegliedert

– Teil I der neuen Norm folgt der aktuellen Norm und bezieht sich auf eine Erklärung zur Einhaltung der geltenden Methoden und Grenzwerte.
– Teil II der neuen Norm definiert unter Beibehaltung der Eichpunkte bei 20 – 60 – 100% der Kapazität die Methoden zur Berechnung der Unsicherheit eines Drehmomentschlüssels nach den von DIN-DKD angenommenen Gleichungen, jedoch mit einer sehr hohen Anzahl von Prüfungen.



