
DOMAINE D’APPLICATION
Calibration statistique des capteurs couple, pour les applications générales et « transfert standard“
La procédure pour classer les capteurs couple est décrite
Non approprié pour la calibration des clés couple
Les numéros ci-dessous identifient les paragraphes du standard
4. Caractéristiques des capteurs couple
Tous les composants de l’instrument, y compris le cable, doivent être identifiés (nom du fabricant, type, 4 ou 6 fils, numéro de série, etc.)
Le côte mesuré doit être indiqué (côté application couple) si important. C’est le cas, par exemple, avec les capteurs rotatifs, dépendant de la présence des anneaux glissants
Le capteur couple et les parties fixées ne doivent pas introduire des forces transversales ou des moments de flexion
5.1 Calibration des capteurs couple
Calibration = Appliquer des couples connus au capteur et enregistrer les données fournies
Je peux changer l’unité de lecture si l’incertitude due au changement est moins de 1/3 de l’incertitude relative au résultat de calibration (SCS prend ceci en compte dans la balance d’incertitude)
Les composants et les adaptateurs doivent résister à 1.5 fois le couple maximum transmis
Au couple maximum la variation de la longueur de l’appareil mesuré doit être moins de 1 mm
Avant la calibration le capteur et les adaptateurs doivent être chargés au moins 4 fois avec une surcharge de 8 à 12% du couple nominal, pour 1 à 1.5 minutes (pour la sécurité et pour éviter les dommages durant la calibration)
5.2 Résolution de l’appareil indiqué
La résolution r est l’augmentation du dernier nombre actif, sachant que la fluctuation maximum est 1 augmentation quand l’instrument est déchargé.
Si l’indication change de 1 augmentation, la résolution est la moitié de la fluctuation + 1 chiffre
La valeur minimum de la plage mesurée est définie selon la classe dans la table (critères de classification)
5.3 Préparation de la calibration
Tous les ajustements, le cas échéant, doivent être enregistrés
Les mesures doivent être faites après la stabilisation de la température
Le signal zéro doit être enregistré avant et après la calibration avec le couple déchargé dans la position verticale
Appliquer le couple depuis le côté défini par le fabricant
Indication positive pour le couple sens horaire
5.4 Procédure de calibration
Calibration horaire ou anti horaire en étapes spécifiées (généralement 5 étapes dans la plage de mesure)
Vous avez défini un temps d’attente de 10 seconds pour chaque étape, aussi constant que possible
Précharger au couple nominal doit être réalisé 3 fois dans le premier cycle de la direction de la calibration et une fois après chaque changement de la position de montage
Après chaque pré chargement (court temps) attendre la stabilisation à zéro (max. 3 minutes) et enregistrer la valeur
Après le dernier pré chargement dnas la première position de montage, enregistrer le fluage après 3 minutes
De préférence la calibration doit être faite dans 3 positions à 120°
Pour les capteurs couple avec couplage carré, les positions 4 x 90° sont utilisées
Pour les classes 1, 2 et 5 il est possible seulement de faire une rotation à 90° ou 120°
Le nombre de mesure dépend de la classe du capteur couple, comme montré dans le tableau suivant
Nombre de séries de mesures requis

Le nombre minimum de phase couple (en addition avec la phase zéro) doit être comme ci-dessous pour chaque direction:
– classes 0,05 et 0,1 = 8 (convenablement réparti sur la plage de mesure)
Remarque: par exemple, dans les étapes de 10, 20, 30, 40, 50, 60, 80 et 100 % ME ou 2, 5, 10, 20, 40, 60, 80 et 100 % ME
– classes 0,2 et 0,5 = 5 (20, 40, 60, 80 et 100 % ME)
– classes 1 à 5 = 3 (20, 60 et 100 % de ME) (Procédure SCS pour classe 1: 5 étapes)
La valeur minimum de la plage de mesure doit être une de la valeur de calibration
Un capteur couple peut être calibré séparément pour plusieurs plages de mesure du couple
Séquence de calibration pour la classe 1

La température ambiante doit être entre 18 et 28°C (de préférence 22°C) et stable dans ±1 K.
L’intervalle entre deux phase de chargement doit être la même, surtout en présence de fluage
L’indication avant la mesure peut être à zéro ou prise en compte dans le calcul
Pour les instruments avec une échelle définie (N∙m) l’indication doit être à zéro au début de chaque série de mesure
5.4.7 Evaluation du capteur couple
Cas I: seulement séries d’accroissement
Le résultat de calibration est calculé pour chaque calibration couple comme une moyenne sur les différentes positions de montage des valeurs affichées depuis la série d’accroissement, corrigé pour le point zéro.
Les fonctions de filtrage linéaire et cubique sont calculées en utilisant le point d’origine et l’erreur d’interpolation est déterminée.
L’hystérésis ne participe pas à la classification et ne contribue pas à l’incertitude de mesure standard alors que l’erreur d’interpolation est considérée.
Cas II: série d’accroissement et de baisse
Le résultat de calibration est calculé pour chaque calibration couple comme une moyenne sur les différentes positions de montage des valeurs affichées depuis les séries d’accroissement et de baisse, corrigé pour le point zéro. La fonction de filtrage linéaire est calculée en utilisant le point d’origine et l’erreur d’interpolation est déterminée.
Dans le cas des instruments avec une échelle fixe (N∙m) l’erreur d’interpolation est remplacée par l’erreur d’indication
L’erreur de réversibilité (hystérésis) et l’interpolation ion (ou erreur d’indication) sont prises en compte pour la classification et ont une contribution à l’erreur d’incertitude relative.
Résultat de calibration
Cas I: seulement séries d’accroissement
Le résultat de calibration Y(Mk) est calculé pour chaque calibration couple comme une moyenne sur les différentes positions de montage des valeurs affichées depuis les séries d’accroissement, corrigé pour le point zéro.
Cas II: séries d’accroissement et de baisse
Le résultat de calibration Yh(Mk) est calculé pour chaque calibration couple comme une moyenne sur les différentes positions de montage des valeurs affichées depuis les séries d’accroissement et de baisse, corrigé pour le point zéro.
Remarque: pour la position 0° dans la seconde série d’accroissement (classes 0,05 à 0,5) ne sont pas inclus dans le calcul du résultat de calibration
Reproductibilité b(MK) et répétitivité b’(MK)
La reproductibilité b(MK) est calculé pour chaque couple comme l’erreur de répétitivité des valeurs affichées des séries d’accroissement réduites par le point zéro dans les différentes positions de montage.
La répétitivité b’(MK) est calculé pour chaque calibration couple comme la somme des erreurs de répétitivité des valeurs affichées des séries d’accroissement réduites par le point zéro dans la même position de montage.
Erreur relative du signal zéro f0
La valeur zéro doit être enregistrée au préalable pour chaque séries d’accroissement et après chaque séries de baisse.
La valeur zéro doit être lue approximativement 30 s après le déchargement complet
L’erreur zéro f0 est calculée comme la valeur absolue maximum de la différence entre les deux lectures à toutes les positions de montage
Réversibilité (hystérésis) h(MK)
L’erreur de réversibilité h(MK) est déterminée pour chaque calibration couple comme la valeur maximum des valeurs absolues de la différence entre les indications des séries d’accroissement et de baisse pour chaque phase de couple.
Erreur d’interpolation fa(MK)
L’erreur d’interpolation fa(MK) est déterminée avec l’aide de la fonction filtrage fonctionnant par le point d’origine dans la plage de mesure:
Cas I: 3eme degré – cubique (non appliqué aux classes 1 à 5, premier degré est appliqué)
Cas II: équation 1° degré – linéaire
L’erreur d’interpolation est calculée pour chaque phase de calibration comme la différence entre le résultat de calibration* et la valeur associée de la fonction filtrage. L’équation utilisée doit être indiquée dans le certificat de calibration.
*Résultat de calibration : sans hystérésis Yh(MK), avec hystérésis Y(MK)
Erreur d’indication fq(MK)
La déviation d’indication fq(MK) est seulement déterminée pour les instruments couple qui affichent directement le résultat dans l’unité de couple et pour qui une adaptation électronique de l’indication à la fonction d’interpolation du résultat de calibration n’est pas possible.
Cela représente la différence entre le résultat de calibration et le couple de référence appliqué.
Fluage courte durée
Le fluage courte durée est une bonne indication de la qualité du capteur couple (l’augmentation, la valeur, la baisse, la qualité)
Dans la première position de montage, c’est la différence entre le point zéro avant les premières séries de mesure (après 3 minutes d’attente) et le point zéro immédiat après la décharge du troisième pré chargement divisé par le résultat de calibration à la limite supérieure de la plage.
Principe de classification
La plage de mesure pour laquelle une certaine classe est assignée au capteur couple comporte toutes les calibrations couple pour lesquelles les critères de classification correspondants sont respectés – de la limite supérieure de la plage de mesure à la plus petite calibration couple
Pour la classification, la valeur minimum de la plage de measure doit être:
- ≤ 20% de ME pour les classes 0.2 à 5
- ≤ 40% de ME pour les classes 0.05 à 0.1
Critères de classification
Pour les objectifs de classification, les quantités totales déterminées dans 5.4.7 sont converties en quantités relatives selon la prochaine table. Les critères suivants doivent donc être pris en compte:
– reproductibilité relative;
– répétitivité relative;
– variation de zéro relative;
– erreur de réversibilité relative (Cas II seulement);
– déviation d’interpolation ou indication relative;
– résolution de l’unité d’affichage à la limite la plus basse de la plage de mesure
Critères de classification pour les appareils de mesure couple

Notre tableur vérifie automatiquement toutes les valeurs pour déterminer la classe du capteur couple.
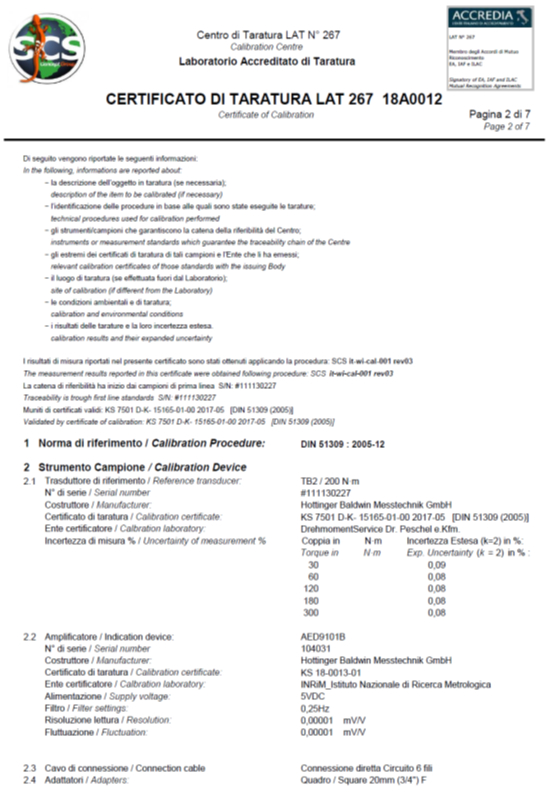
CERTIFICAT DE CALIBRATION
Nous analyserons plus tard en détail le certificat de calibration, qui doit contenir au moins les informations suivantes:
- Identité de tous les éléments de l’appareil de mesure couple et des composants pour la mise en place du couple;
- Indication du couple droite et/ou gauche;
- Température ambiante à laquelle la calibration a été effectuée;
- Date de la calibration;
- Information sur le laboratoire de calibration et les normes utilisées;
- Référence à cette norme;
- Résultat de classification avec indication de la plage de mesure associée;
- Résultat de calibration (moyennes des valeurs affichées depuis les différentes positions de montage pour Cas I et Cas II) indiquant l’incertitude de mesure relative pour le résultat de calibration interpolé ou l’intervalle d’incertitude relative, par exemple, détermine dans la base de l’annexe C, et si applicable, l’équation d’interpolation associée ainsi que les méthodes de détermination correspondantes;
- Fluage courte durée.
De plus, le certificat doit contenir:
- Un tableau des valeurs de mesure et des paramètres calculés selon 5.4.7;
- Une représentation graphique des déviations des valeurs affichées depuis une fonction d’interpolation cubique (Cas I) ou linéaire (Cas II);
- Une représentation graphique de l’incertitude de mesure relative pour le résultat de calibration interpolé ou de l’intervalle d’incertitude relative – déterminée par exemple dans la base de l’annexe C – comme une fonction des calibrations couple;
- Un diagramme de chargement représentant le fonctionnement variable dans le temps des changements de couple et le temps durant lequel le couple a été appliqué sans cesse dans la facilité de calibration avec une résolution de 10 seconds approximativement.
Période de validité
La période maximum de validité du certificat ne doit pas excédé 26 mois, mais une fréquence annuelle est généralement demandée, spécialement si il y a des besoins particuliers de traçabilité ou si nécessaire des régulations de la qualité.
Le capteur couple doit être recalibré:
– s’il a subi une surcharge qui est plus élevée que celle appliquée durant le test de surcharge
– après qu’une maintenance corrective ait eu lieu; ou
– après une opération inappropriée qui peut avoir une influence sur les propriétés métrologiques de l’incertitude de mesure.
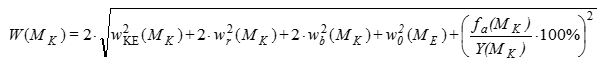
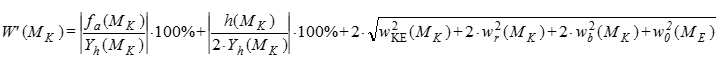
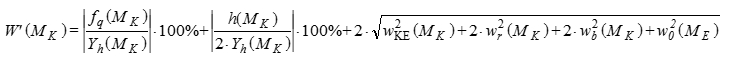
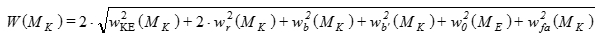
Calcul de l’incertitude relative (selon DIN 51309)
Cas IA: classes 0,05 à 0,5 avec fonction filtrage cubique
![]()
Cas IB: avec fonction filtrage linéaire
Classes 0,05 à 0,5

Classes 1 à 5
Cas IIA: seulement avec fonction linéaire – échelle inconnue
Classes 0,05 à 0,5

Classes 1 à 5

Case IIB: seulement fonction linéaire – échelle définie
Classes 0,05 à 0,5

Classes 1 à 5

Les calculs sont automatiquement réalisés sur le tableur et les résultats sont donnés sur la page 4 du certificat de calibration (Table 8.1).
Incertitude de référence
Cette unique formule de calcul est considérée avec une contribution comme dans le tableau ci-dessous:


CERTIFICAT DE CALIBRATION
Page 1: page de couverture
La première page est conforme avec le modèle ACCREDIA: en plus du logo Accredia, il y a aussi le logo SCS. Ces logos sont sur chaque page du certificat de calibration. La page contient l’identité du client et les informations concernant la commande, information sur l’instrument à calibrer (type, modèle et numéro de série),date de réception de l’instrument et date de calibration, informations logistiques du laboratoire et signature (le responsable ou le substitut).

Page 2: informations
Sur la deuxième page, en accord avec le modèle Accredia, des informations sont fournis:
– la référence de la norme
– les détails d’identification détails du laboratoire de référence et sa traçabilité (certificat de calibration et incertitudes)
– identification et caractéristiques de l’amplificateur connecté à la référence
– caractéristiques du câble et des adaptateurs

Page 3: informations
Les informations suivantes sont détaillées:
caractéristiques de l’instrument à calibrer, son amplificateur, câbles, adaptateurs, sensibilité, installation pour la calibration, conditions environnementales, lieu de la calibration (en cas de calibrations externes) et le signal de la valeur zéro, avant et après la calibration, et autres informations liées à la calibration

Pagina 4: calibration et classification des résultats
Dans cette page sont indiqués les valeurs d’incertitude en fonction des courbes d’interpolation:
– cas I cubique et linéaire
– cas II linéaire seulement.
Si c’est approprié, l’incertitude est indiquée pour les instruments avec une échelle définie.
Le second tableau fournit la classification selon DIN 51309 selon les paramètres contenus dans le tableau 10 sur la prochaine page.
Le fluage de courte durée est aussi indiqué.

Page 5: equations d’interpolation et critères de classification
Dans cette page sont indiqués:
9. Equations d’interpolation, qui seront utilisées pour la classification du capteur couple et pour obtenir les valeurs du tableau suivant 13 sur la page 7 (interpolation cubique)
10. Valeurs pour les critères de classification du capteur couple.
La classe est déterminée automatiquement, en vérifiant que tous les paramètres respectent les exigences de la norme.

Page 6: données de mesure
– Dans cette page il y a un tableau où sont indiquées les valeurs mesurées comme une fonction du couple appliqué, selon les cycle de mesure définis.
– Dans ce tableau, les valeurs sont en N∙m mais peuvent aussi être exprimées en mV/V.

Page 7: résultats en et interpolation cubique
– Le premier graphique montre l’erreur relative dans les étapes de calibration individuelle
– Le deuxième paragraphe montre la tendance de l’erreur d’interpolation
– Le tableau d’interpolation cubique montre les valeurs calculées en utilisant les formules du paragraphe 9.1 de la page 5 pour les valeurs intermédiaires des différentes étapes de mesure

